
'Pushing this competition': SpaceX's Starship might not fly on NASA's newly revamped Artemis 3 mission - Space
"NASA does not want to have to rely on only one one contractor."
Scientific discoveries, space, environment and research news.
779 articles

"NASA does not want to have to rely on only one one contractor."

An 11th-century Norse coin found in Maine raises the question of whether the Vikings landed there.

New research reveals that interbreeding between male Neanderthals and female Homo sapiens shaped patterns still visible in modern human DNA.
Firefly Aerospace is planning to launch an Alpha rocket from Vandenberg Space Force Base this weekend.

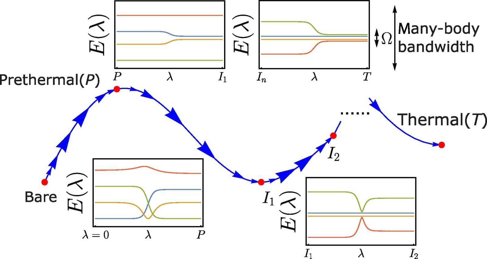
Preserving quantum information is key to developing useful quantum computing systems. But interacting quantum systems are chaotic and follow laws of thermodynamics, eventually leading to information loss. Physicists have long known of a strange exception, cal…

A new method of studying the contents of soil samples has revealed Stone Age people in Sweden were buried in decorated fur-and-feather clothing.

Humanity’s Last Exam is a PhD-level benchmark designed to test the limits of AI reasoning. Although Google’s Gemini 3 scored a staggering 48.4%, experts stress that this does not indicate the arrival of artificial general intelligence (AGI).

Will humanity extend into the far future? It's likely many of us think it should. The problem is that each of us, individually and collectively, act otherwise—we are destroying the environment and climate at every turn. Now a group of scientists is arguing th…

The largest moon of Saturn is bigger than Mercury, yet for all its conspicuousness, scientists don't know exactly how it came to be.
Scientists found compounds in asteroid samples that are essential for life on Earth. They could also contain molecules necessary for forming consciousness.

The radio 'howl' of a lightning-like discharge has been detected at Mars for the first time.

Let's say Godzilla exists and walks among us like in Monarch: Legacy of Monsters. Could humans actually stop him, or even survive? We spoke to the experts to find out.

A blood-red moon will soon grace the skies for a total lunar eclipse — and there won’t be another until late 2028

A massive cluster of fossilized eggs has just been opened in China, revealing what was happening before one species ever took to the skies.

A blood-red moon will soon grace the skies for a total lunar eclipse \u2014 and there won't be another until late 2028.

A study of ancient ostrich eggshells reveals that early humans were capable of advanced geometric thinking, using precise patterns and intricate designs more than 60,000 years ago.

Earlier this week, the number of visible sunspots on our home star fell to zero for the first time in 1,335 days. This normally indicates a period of greatly reduced solar activity, but it's still too soon to relax, experts say.

Nestled in the Mojave Desert, NASA’s Armstrong Flight Research Center in Edwards, California, pushes the boundaries of flight to advance the agency’s aeronautics mission. This is where Chuck Yeager broke the sound barrier and engineers are now pioneering the future of high-speed, autonomous, and ele

A major shakeup to NASA's Artemis program will step rocket launches up to an annual basis, and discard a Boeing-designed upper stage.

Scientists found a radiation-tolerant fungus inside Chernobyl’s reactor building, where it appears to grow stronger.

"Monogenic" diseases, triggered by mutations in just one gene, may actually be more complex than scientists thought.

Growing tissues can crack, break, and dissociate to form structures that can later withstand immense forces.

As part of a Golden Age of exploration and discovery, NASA announced Friday the agency is increasing its cadence of missions under the Artemis program to achieve the national objective of returning American astronauts to the Moon and establishing an enduring presence. This includes standardizing veh

The Celestron StarSense Explorer DX 5-inch Schmidt-Cass is now down to $479 at Amazon, making it easy to enjoy the blood moon eclipse on March 3.